发表日期:2025/11/28

在建筑工程和地质勘察领域,我们常常需要了解场地的土层结构和动力特性,而剪切波检测技术就像给大地做“CT扫描”,能够精准揭示地层的秘密。

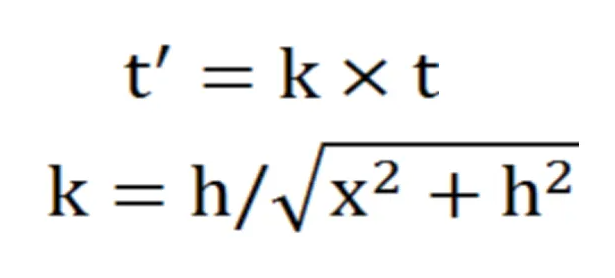
(二)波速计算
当激发点距孔口距离x较大,测试深度又较浅时,计算波速时,则应进行斜距校正。

式中:
t-波沿斜距传播的时间
k-斜距矫正系数
h-孔中检波器距孔口地面的距离
x-激发点距孔口的距离

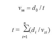
把时间进行斜距校正后,就可以计算当前深度点的波速:
其中Δh是相邻两测点的距离;
t1´与t2´是首波到达不同测点斜距校正后的时间。


Vse 土层等效剪切波速(m/s);
d0 计算深度(m),取覆盖层厚度和20m 二者的较小值;
t 剪切波在地面至计算深度之间的传播时间;
di 计算深度范围内第i 土层的厚度(m);
Vsi 计算深度范围内第i 土层的剪切波速(m/s);
n 计算深度范围内土层的分层数。
检测前要检查好剪切波波速仪是否正常、设备是否齐全。最主要的是准备好激振板、大锤、重物。
单孔法波速测试采用的振源很多,如:爆破、气压缩枪、弹簧式S波激发装置、火箭筒等等。但在一般的场地剪切波速测试中最常用的是敲击板激振源。
将一块弹性好的木板(木板长约2米,宽约0.4—0.5米,厚约0.1米)受锤击的两头包上铁板,放在平整的地面上,上面压上重物,使木板与地面紧密接触,然后敲击木板两侧,这样木板就给地面一个水平冲击力,激起土层的剪切振动。

开机试测,敲击木板,观察仪器上的三道波形,判断波形是否符合要求:波形清晰、光滑,能看到起始点,无或有少量杂波。
木板与表土层耦合的好坏直接关系波形采集的好坏。现场可在选定放木板的地方撒一层砂子,放上木板来回磨动,然后拿开木板,耦合好坏一目了然,在有空缺处再撒砂子,反复数次可达最佳效果。
可将汽车直接压在木板上,也可用重物(重量为500Kg左右),应保证锤击时没有大的位移,另外重物应尽可能在木板上均匀分配。

测剪切波时,锤击力要尽量保持水平锤击要干净利索,避免二次或多次击打。每一米要测两次,即敲击木板的左右两端,分别保存。
放下或提升换能器到一个新深度应保留十几秒钟后再测,这样可避免泥浆扰动干扰。
钻孔附近地面应尽可能平整,钻孔时应尽量减少孔壁土扰动,待测孔钻到预定深度时,如地层软弱应下套管护壁(PVC管),套管与孔壁间应用灌浆和填砂法处理。
用敲板法做振源时,在距孔口1-3m处放置木板应与地面贴紧,上压500kg左右的重物以防木板的滑移,也可以用汽车轮子压上去,木板的中垂线应通过孔口,当板中心的高程与孔口相差较大时,应量测并记录下来。

现场采集的波形一般由三部分组成:第一部分是从零时开始至直达波能量的到达,其信号除受外部干扰出现毛刺外,基本是一条接近于直线的平稳段;第二部分从波的第一个初至起到第二个初至止,此段属于P波段,振幅小,频率高;第三部分是以S波为主的部分,振幅大,频率低。








地质情况略。
数据判读:等效剪切波波速为303m/s,按照规范该场地土为中硬土,该场地基岩埋深超过30m,由此判断该场地类别为Ⅱ类。


021-69899545
027-87955289
sales@y-link.cn
上海总部
上海市嘉定区沪宜公路1188号18幢
武汉服务中心
湖北省武汉市江夏区阳光大道中科天工智能装备研究基地
公安备案号:42011302000612
沪ICP备12025244号-2